[AI・機械学習の数学]微分法の基本を身につけて「変化」を見極めよう:AI・機械学習の数学入門(2/3 ページ)
式の値が最小になるときのxの値を求めたり、値がどのように変化していくかを見たりするためには微分が活用できる(回帰分析・重回帰分析につながる基礎知識)。今回は平均変化率から始め、微分の基本を一歩ずつゆっくりと追いかける。
目標【その3】: いよいよ微分のお話(導関数を理解する)
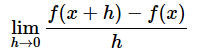
さて、いよいよ微分のお話です。平均変化率の式で、間隔hをどんどん小さくしていくと接線の傾きが求められます。微分とは、その「接線の傾き」を表す式を求めることとも考えられます(厳密な定義ではありませんが、最初はそういうイメージで十分です)。まずは以下の式を見てください。
このf'(x)は、「関数f(x)の導関数(どうかんすう)」と呼ばれます。微分とは導関数を求めることに他なりません。つまり、この式が微分の定義です。
ここでの目標は、導関数を表す式(つまり上記の式における右辺)の意味を理解することです。
解説:微分の考え方と書き方について
いきなりものすごい式が出てきてハードルが急に上がったように思った人がいるかもしれませんが、右辺の式に見覚えはないでしょうか。右端の部分は平均変化率の式そのものでよね。つまり、平均変化率をどうこうしてやれば、微分ができるということです。
ここで、新しく出てきた記号の読み方をまず確認しておきましょう。新しく出てきたのは、左辺のf'(x)と右辺のlimの2つだけです。
左辺の'は「プライム」と読みます。従って、f'(x)は「エフプライムエックス」や「エフプライムかっこエックス(かっことじ)」のように読みます(※「エフダッシュ」ではありません)。
右辺のlimは「リミット」と読みます。ある変数の値を何らかの値に限りなく近づけていく、といった意味なのですが、これが理解できれば微分も理解できるので、ここから詳しく見ていくことにしましょう。
というわけで、ここから平均変化率がどう微分に結び付いてくるのかというお話をします。最終的には、超カンタンな計算方法にたどり着くのですが、考え方が大事なのでゆっくりと読み進めてください。
平均変化率は図6の左に示した「斜めの点線の傾き」のことでしたね。このような状態から、間隔hをどんどん小さくしていくと、いったいどうなるでしょうか。
直感的に分かると思いますが、図6の右のように接線の傾きに近づいていきます(念のため、この動きを追いかけた動画も用意しておきます)。
動画1 接線の傾き
平均変化率の「間隔」が限りなく0に近づいていくので、接線の傾きは「ある瞬間の変化率」とも表現できますね。
そこで、接線の傾きを求めるために、平均変化率の式で、間隔hをどんどん小さくしていき、限りなく0に近づけてみましょう。そのときに、平均変化率がどのような値に近づくかを求めるといいですね。
ただ「変数の値を限りなく何らかの値に近づけていったとき、式の値が限りなく近づく値はいくらですよ」と言うのも書くのも長ったらしいので、limという記号を使って以下のように表すことにします。なお、「限りなく近づく値」のことを「極限値」と呼びます。
この書き方だと簡潔に表せますね。読み方は「リミット、変数が、値に近づくときの、式の値」といった感じになります。例えば、
なら、「リミット、エヌが、無限大に近づくときの、エヌ分のイチ」です(ちなみにこの式の値は0です)。limの書き方も大事なので、ちょっとだけ穴埋め問題をやっておきましょうか。xが限りなく2に近づくとき、x2+3x−4はどのような値に近づくかは、以下のように表されますね。答えが分かったら、オレンジ色の部分をクリックまたはタップして、合っているかどうか確認してみてください。
lim ( x 2 + 3 x - 4)
x → 2
ちなみに、この値は22+3⋅2−4、つまり、6に限りなく近づくのでlimの式の値は6になります。
話を元に戻しましょう。hが限りなく0に近づくとき、平均変化率がどの値に近づくかを求めるのでしたね。それをlimを使って表すと、
のようになります。この式は目標のところで見た、「f(x)の導関数」を表す式そのものです。そして、この式の値が接線の傾きになっています。
繰り返しになりますが、導関数を求めることを微分すると言います(大事なことなので2回言いました)。
また、いちいち「f(x)の導関数」というのも面倒なので、こちらも記号を使って表しましょう。実は、導関数にはいろいろな書き方があり、
といった表し方をします。手で書いたり、キーボードから入力したりするときの手間を考えると、
が簡単ですが、発展的な計算をするときには、
の方が便利になります*3。
今のところ、簡単に書けて、関数だということが分かるf'(x)で十分なので、以下のように書くことにします。
というわけで、これが微分の定義です。右辺の意味をもう一度確認しておくと「間隔hをどんどん小さくしていき、限りなく0に近づけたときに、平均変化率がどの値に近づくか」ということになります。それが導関数の式であり、xにおけるf(x)の接線の傾き(を表す関数)になるわけです*4。
*4 x軸のある点aにおける導関数の値は、f'(a)と表されます。この値のことを「微分係数」と呼びます。高校の教科書では、まず微分係数を学んで、次に導関数について学ぶことが多いようです。ここでは、一気に導関数から見てきました。f'(a)のaは定数で、微分係数f'(a)は何らかの値(ある点における接線の傾き)であることに注意しましょう。一方、f'(x)のxは変数で、導関数f'(x)は関数であることに注意しましょう。xの値を変えると、それに対応した接線の傾きが求められます。
長々と抽象的なお話をしてきたように思われるかもしれませんが、実際のところ、「hを限りなく0に近づける」とか「関数f(x)の導関数」といった言葉をできるだけ簡単な記号で表すとどうなるかというお話と、その記号をどんなふうに読むか、というお話をしてきただけです*5。
そういうわけで、微分の定義は分かったものの、それだけでは、どういう計算をすればいいのか見当が付きませんね。実は、簡単に計算を行う方法があるのです。次は、導関数がどのように計算されるかを見ていきます。
目標【その4】: 微分の計算方法(導関数の求め方)
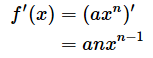
単刀直入に答えを先に示しておきます。多項式の微分は以下の式さえ覚えておけば簡単にできます。
のとき、
解説:微分の計算方法(導関数の求め方)
微分の方法(導関数の求め方)は次のような単純な手順です。「微分」は、難しい数学の代表のように思われていますが、多項式の微分は極めて簡単な計算です。
手順:
- 指数を係数に掛ける
- 指数を1減らす
- 定数項は消す
たったのこれだけです。式の項ごとにこのルールを適用します。以下の図でも確認しておきましょう(動画も用意してあります)。
動画2 微分の計算方法と計算例
具体的な例でも見ておきましょう。以下の図は、2x3を微分する例と、x3−5x+6を微分する例を、上の手順通りにやってみたものです。
xはx1なので、xの指数は1です。また、x0=1なので、定数項はx0の項であると考えられます。手順3の「定数項は消す」というルールは、実際には、手順1の「指数を係数に掛ける」というルールを適用して、指数である0を係数に掛けただけのことです。
いかがでしょう。そういえば、高校のときにこういうやり方を覚えたなぁ、と思い出した方も多いのではないでしょうか。思い出したついでに、もうひと押しです。練習問題にも取り組み、計算方法を確実に身につけておきましょう。
練習問題
以下の関数を微分してみましょう。
(1) f(x) = 7x3をxで微分する
(2) f(x) = 10をxで微分する
(3) f(x) = 2x4+3x2+5をxで微分する
(4) f(t) = t2−4t+4をtで微分する
次のページは……
最後のページで練習問題の「解答」を示し、「微分の定義と計算方法について」の続きの解説を行います。
- 解答
- 解説(続き):微分の定義と計算方法について
Copyright© Digital Advantage Corp. All Rights Reserved.




