[AI・機械学習の数学]線形代数の行列式をマスターAI・機械学習の数学入門(2/3 ページ)

» 2022年09月14日 05時00分 公開
[羽山博]

ポイント3 行列式は符号付きの面積や体積である

 そもそも行列式はどの部分の面積や体積なのでしょうか。2×2行列の場合で確認してみましょう。例えば、

を2つの列ベクトルに分けてみます。つまりa=(4,−2),b=(3,1)です(行列では縦に並んでいますが、表記の都合上横に並べています)。行列式の値は、これらのベクトルで作られる図2のような平行四辺形の面積になっているということです。

図2 行列式の図形的な意味 図2 2×2の行列式は2つの列ベクトルで作られる平行四辺形の面積
2×2行列の行列式の値は、2つの列ベクトルを挟辺とする平行四辺形の面積となる。この場合は行列式(面積)=10

 行列式の値を計算してみると10という正の値になります。行列式の値が正である場合と負である場合にはどのような違いがあるのでしょうか。

 図2のように、abに向けて回転させるときに、角度が小さい方の回転の向きが反時計回りになれば、行列式の値は正になります。時計回りの場合は負になります*1


注1

*1 山手線で例えて言えば、東京から上野に行くときに神田、秋葉原に向かって進むということです。わざわざ、品川方面からぐるっと回る方法は使いません。大阪環状線で言えば、大阪から西九条に行くときに福島、野田に向かって進むということです。京橋方面から大回りはしない、ということです。


 ここで、abを入れ替えるとどうなるでしょうか。その場合の行列式は、

となり、負の値になります。abを入れ替えたということは、これらの位置関係が逆になります。つまり、abに向けて回転させると、時計回りになります。このような場合の面積を負の面積と考えるわけです。

 これは、ポイント2で見た行列式の性質のうち、

  • 行を入れ替えると行列式の符号が反転する

に当てはまります。「行を入れ替えると」ということですが、列を入れ替えた場合でも同様でしたね(ここは、おお、なるほど!と感動するところです)。

 ちなみに、行を入れ替えることは、abをそれぞれy=xに対して対称移動させるということです。abの位置関係が反転します。ということで、やはり行列式(面積)の符号も反転します。

 続いて、3×3の場合です。この場合も同様に、行列を3つの列ベクトルに分けたときに、それらで作られる平行六面体の体積が行列式の値になっています。例えば、

であれば、a=(4,−1,−1),b=(3,4,2),c=(1,0,3)で作られる図3のような平行六面体の体積になります。

図3 行列式の図形的な意味 図3 3×3の行列式は3つの列ベクトルで作られる平行六面体の体積
3×3行列の行列式の値は、3つの列ベクトルを挟辺とする平行六面体の体積となる。やはり行列式の値は負になることもあるので、負の体積になることもある(正負を判定する方法は後述)。

 サラスの公式で行列式を計算すると、

となり、正の値になります。正になるか負になるかは、右手の指を使って判定できます。右手の親指をaの向きに合わせ、人さし指をbの向きに合わせて中指を立てたとき、cの向きと中指の向きが一致していれば正です。一致していなければ負となります。

 ポイント2で見た行列式の残りの性質についても図形的に見ておきます。

  • ある行に定数cを掛けると、行列式の値がc倍される
  • ある行に定数cを掛けたものを、ほかの行に足しても行列式の値は変わらない

 話を簡単にするために2×2行列を2つの列ベクトルに分けた例を見ます。列の場合でも上の性質は成り立ちましたね。また、次元が増えた場合でも同じです。

 ある列に定数cを掛けるというのは、列ベクトルをc倍するということです。図4のように面積がc倍になるのは明らかです(図4では2倍)。行列式も当然c倍されます。

図4 行列式の図形的な意味 図4 一方の列ベクトルを2倍すると、平行四辺形の面積は2倍になる
それぞれのベクトルの長さは辺の長さ。1辺の長さが倍になれば平行四辺形の面積も倍になる。

 ある列に定数cを掛けたものを、ほかの列に足しても行列式の値は変わらない、ということは、ベクトルを平行移動させても面積は同じという意味です。図5のようにbを2倍したもの(bそのものの大きさは変えない)をaに足すと、平行移動になります。ベクトルは平行移動しても同じなので、abで作られる平行四辺形の面積は変わりません。bも平行移動して始点を合わせれば、そのことがよく分かります。

図5 行列式の図形的な意味 図5 一方の列ベクトルを2倍したものをほかの列に足しても面積は同じ
bを何倍かしたものをaに掛けることは、bにそってaを平行移動させることと同じ。平行移動してもベクトルは同じなので、面積は変わらない。

ポイント4 行列式が0だと逆行列は存在しない

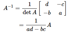
 このポイントは文字通りの意味なのですが、逆行列が存在するかどうかは、線形独立や基底といった線形代数の重要な概念と関連します(次のポイント5で少し触れます)。2×2行列の例で確認しておきましょう。次元が増えても同様です。

のとき、Aの逆行列A−1は、以下の式で求められます。

 しかし、分数の分母は0であってはいけないので(0で割り算はできない)ので、行列式が0の場合、逆行列は求められません。では、行列式が0になるのはどういう場合でしょうか。それは平行四辺形の面積が0のときです*2。例えば、abが零(ゼロ)ベクトルだと面積は0になります。また、2つのベクトルが平行な場合も面積は0です。例えば、a=(1,3)b=(2,6)は平行なので、

となります。平行四辺形がつぶされて直線(線分)になったものと考えればいいですね。


注2

*2 3×3行列では、平行六面体ができないような場合です。例えば、3つのベクトルのうち、2つのベクトルが平行だと平行四辺形になってしまいます。


 3次以上の行列の逆行列を求めるためには、余因子展開と呼ばれる方法を使います(答えを求めるだけなら、Excelを使えばいいのですが)。計算中心のお話になるので、最後のコラムに記すことにします。

Copyright© Digital Advantage Corp. All Rights Reserved.

アイティメディアからのお知らせ

スポンサーからのお知らせPR

注目のテーマ

Microsoft & Windows最前線2026
人に頼れない今こそ、本音で語るセキュリティ「モダナイズ」
4AI by @IT - AIを作り、動かし、守り、生かす
AI for エンジニアリング
ローコード/ノーコード セントラル by @IT - ITエンジニアがビジネスの中心で活躍する組織へ
Cloud Native Central by @IT - スケーラブルな能力を組織に
システム開発ノウハウ 【発注ナビ】PR
あなたにおすすめの記事PR

RSSについて

アイティメディアIDについて

メールマガジン登録

@ITのメールマガジンは、 もちろん、すべて無料です。ぜひメールマガジンをご購読ください。