[AI・機械学習の数学]総和を表すΣは機械学習に必須の記号AI・機械学習の数学入門(2/5 ページ)

» 2020年04月16日 05時00分 公開
[羽山博]

 前のページで示した「総和」練習問題に対する解答例です。

解答例

(1)と(2)はΣの書き方を確認するための問題です。なお、(2)については、

に変形できることを後で学びます。

(3)はΣで計算がどのように行われるかの確認です。順番に足していくだけなので、計算ミスをしなければ大丈夫でしょう。

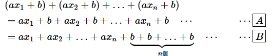
(4)は、素直に足し算にすると、以下のようになります。

 足し算はカッコを外しても、順序を変えても結果は同じなので、同じ文字(同類項)はできるだけまとめましょう。つまり、以下のようになります。

[A] …… カッコを外した
[B] …… 同類項がまとまるように順序を変えた

 ここで、bをよく見てみると、同じ値を単にn回足しているだけであることが分かります。ということは、掛け算にできますね。

 さらに、aに注目してみると、以下のように書けます(aでくくりました)。

 これで式がだいぶ見やすくなりました。意味もよく分かりますね。式を見やすくしておくことも理解を助けます。ちょっとひと息ついてから次に進みましょう。

目標【その2】: Σの公式を知る

 次のページで「Σの公式を知る」について解説します。

Copyright© Digital Advantage Corp. All Rights Reserved.

アイティメディアからのお知らせ

スポンサーからのお知らせPR

注目のテーマ

Microsoft & Windows最前線2026
人に頼れない今こそ、本音で語るセキュリティ「モダナイズ」
4AI by @IT - AIを作り、動かし、守り、生かす
AI for エンジニアリング
ローコード/ノーコード セントラル by @IT - ITエンジニアがビジネスの中心で活躍する組織へ
Cloud Native Central by @IT - スケーラブルな能力を組織に
システム開発ノウハウ 【発注ナビ】PR
あなたにおすすめの記事PR

RSSについて

アイティメディアIDについて

メールマガジン登録

@ITのメールマガジンは、 もちろん、すべて無料です。ぜひメールマガジンをご購読ください。